Cytidine 5’-monophosphate: Uses, biological activities and benefits
Cytidine 5’-monophosphate (5'-CMP) is a key intermediate in the production of nucleotide derivatives and has been widely used in the food, agriculture and pharmaceutical industries.
Dec 16,2024 Amino Acids and ProteinsCan 5-Fluorocytosine be used to treat cancer?
Yes. The therapeutic fluoropyrimidines 5-fluorouracil (5-FU) and 5-fluorocytosine (5-FC) have long been used to treat human cancer and severe invasive fungal infections, respectively.
Dec 16,2024 Biochemical EngineeringSodium Thiosulfate: Pediatric First Approval
Sodium thiosulfate has been used in the treatment of calcium poisoning and cyanide detoxification.
Dec 16,2024 Inorganic chemistryWhat conditions can 5-Fluorouracil (5-FU) Injection be used to treat?
5-Fluorouracil (5-FU) injection is not only used as an anticancer agent for the treatment of many types of cancers such as breast, colon or rectal, pancreatic and stomach.
Dec 16,2024 Biochemical EngineeringCreatine monohydrate: Uses, Benefits and Side Effects
Creatine monohydrate is a hydrate consisting of creatine (Cr) and one molecule of water. Creatine is a naturally occurring amino acid that provides energy to the body's muscles, maintains normal bone
Dec 16,2024 Biochemical EngineeringCan D-Ribose be used for weight loss?
D-Ribose appears to indirectly achieve weight loss, but its clinical efficacy has not been confirmed. D-Ribose is a naturally occurring pentose monosaccharide that is a product of dietary nucleic acid
Dec 16,2024 Biochemical EngineeringDesloratadine vs Loratadine: the links and differences between the two
Desloratadine is a biologically active metabolite of the second-generation antihistamine loratadine. It is a highly selective peripheral H1 receptor antagonist and belongs to the antihistamine group o
Dec 16,2024 APIWhat are the levels of thymosin α1 and thymosin β4 in the normal state?
Thymosin α1 and thymosin β4 are the first peptides with immunomodulatory activity isolated from thymosin fr. 5. The levels of both vary in different patients and can therefore reflect the health statu
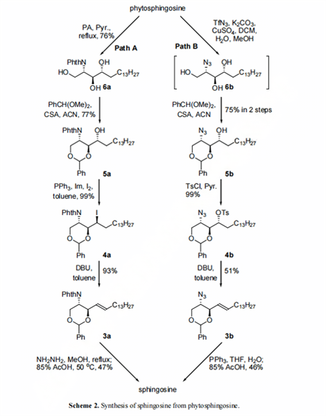
Dec 16,2024 Biochemical EngineeringHow to synthesise sphingosine from Phytosphingosine
There are two alternative synthetic methods that allow phytosphingosine to be synthesised into biologically important sphingosine.
Dec 16,2024 APICan Semax be used to treat patients during pregnancy?
Due to the lack of adequate research on its safety in these populations, Semax is not recommended for use in pregnant and breastfeeding women.
Dec 16,2024 Biochemical Engineering












